10-11 Nr. 1
Verordnung
über die Bildung
von regierungsbezirksübergreifenden
Schuleinzugsbereichen für Bezirksfachklassen
des Bildungsgangs Berufsschule an Berufskollegs
Vom 14. Juli 2005,
zuletzt geändert durch Verordnung vom 12. Mai 2025
(GV. NRW. 2025 S. 446)
Aufgrund des § 84 Abs. 3 Schulgesetz für das Land Nordrhein-Westfalen (Schulgesetz NRW - SchulG) vom 15. Februar 2005 (GV. NRW. S. 102) wird verordnet:
§ 1
Die Schuleinzugsbereiche für regierungsbezirksübergreifende Fachklassen des Bildungsgangs Berufsschule an Berufskollegs werden nach Maßgabe der Anlage dieser Verordnung gebildet.
§ 2
Die Verordnung tritt am 1. August 2005 in Kraft.1
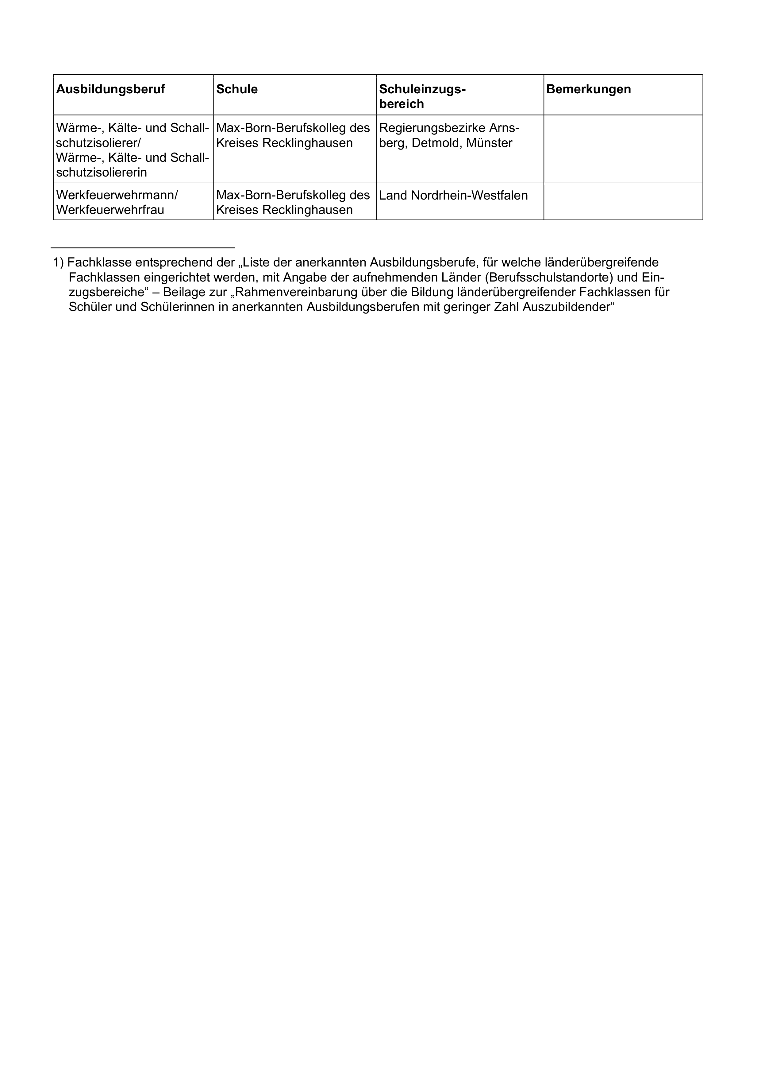
Nachfolgend finden Sie die Anlage zur Verordnung: |
1 Das Datum bezieht sich auf das Inkrafttreten der Verordnung in der ursprünglichen Fassung; die geänderte Fassung tritt zum 1. August 2025 in Kraft.










