Zuwendungen für die Durchführung
außerunterrichtlicher Angebote offener
Ganztagsschulen im Primarbereich
Runderlass des Ministeriums für Schule und Bildung
Vom 26. Januar 2026
Bezug:
Runderlass des Ministeriums für Schule und Weiterbildung vom 12. Februar 2003 (ABl. NRW. S. 43)
1
Der Bezugserlass, der zuletzt durch Runderlass des Ministeriums für Schule und Bildung vom 7. Mai 2025 (ABl. NRW. 05/25) geändert worden ist, wird wie folgt geändert:
1. In Nummer 2 wird die Angabe „„Gebundene und offene Ganztagsschulen sowie außerunterrichtliche Ganztags- und Betreuungsangebote in Primarbereich und Sekundarstufe I“ des Ministeriums für Schule und Weiterbildung vom 23. Dezember 2010 (BASS 12-63 Nr. 2)“ durch die Angabe „„Offene Ganztagsschulen sowie außerunterrichtliche Ganztags- und Betreuungsangebote im Primarbereich“ des Ministeriums für Schule und Bildung und des Ministeriums für Kinder, Jugend, Familie, Gleichstellung, Flucht und Integration vom […]1“ ersetzt.“
2. In Nummer 3 wird nach der Angabe „Gemeindeverbände und Zweckverbände“ die Angabe „gemäß § 78 SchulG“ eingefügt.“
3. Nummer 4 lit. a) wird wie folgt gefasst: „a) Bei Erstantragstellung Vorlage eines Konzeptes der Gemeinde beziehungsweise des Ersatzschulträgers zur Entwicklungsplanung für die Einrichtung und den Betrieb von offenen Ganztagsschulen in ihrem Bezirk nach dem Muster der Anlage 1 dieser Förderrichtlinien,“
4. Nummer 4 lit. b) wird wie folgt gefasst: „b) bei Neueinrichtung einer offenen Ganztagsschule im Primarbereich Vorlage des Ganztagskonzepts dieser Schule unter besonderer Berücksichtigung der Angebote zu einer intensivierten individuellen Förderung nach dem Muster der Anlage 2 dieser Förderrichtlinien,“
5. Nummer 4 lit. c) wird wie folgt gefasst: „c) Vorlage einer Aufstellung von abgeschlossenen und geplanten Kooperationsvereinbarungen zwischen dem Schulträger beziehungsweise den offenen Ganztagsschulen, dem Träger der öffentlichen Kinder- und Jugendhilfe und anerkannten Trägern der freien Kinder- und Jugendhilfe und anderer Träger, insbesondere im Kultur- und Sportbereich,“
6. Nummer 4 lit. d) wird wie folgt gefasst: „d) Vorlage eines Finanzierungsplans nach dem Muster der Anlage 4,“
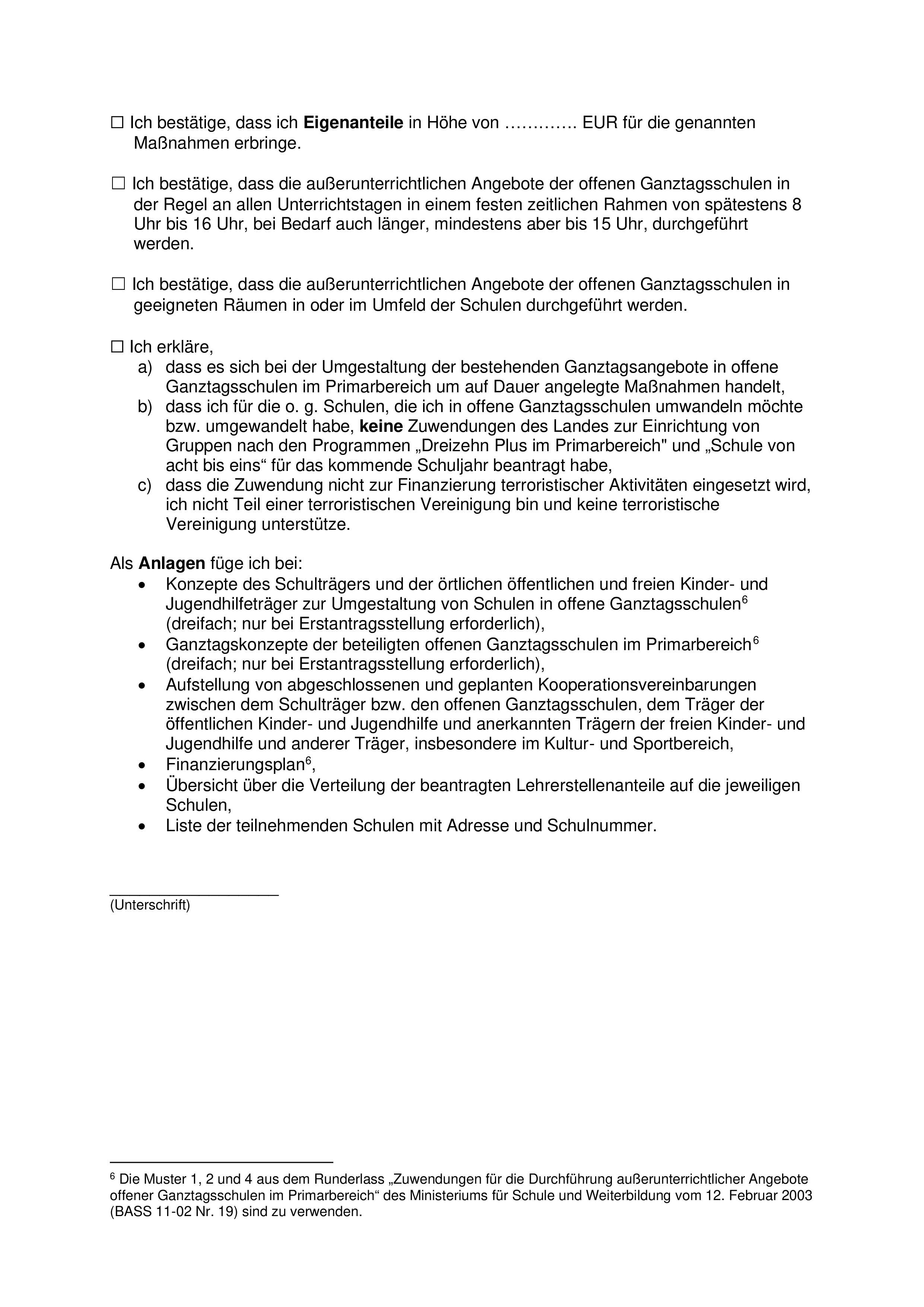
7. Nummer 4 lit. e) wird wie folgt gefasst: „e) Durchführung der außerunterrichtlichen Angebote der offenen Ganztagsschulen in der Regel an allen Unterrichtstagen in einem festen zeitlichen Rahmen von spätestens 8 Uhr bis 16 Uhr, bei Bedarf auch länger, mindestens aber bis 15 Uhr,“
8. Nummer 4 lit. f) wird wie folgt gefasst: „f) Durchführung der außerunterrichtlichen Angebote der offenen Ganztagsschulen in geeigneten Räumen in oder im Umfeld der Schule(n),“
9.Nummer 5.4.1 wird wie folgt gefasst:
„5.4.1 Der Grundfestbetrag beträgt ab dem 1. August 2026 1.138 € pro Schuljahr und Kind beziehungsweise 2.054 € für Kinder mit Bedarf an sonderpädagogischer Unterstützung pro Schuljahr. Zusätzlich werden Lehrerstellen nach einem Stellenschlüssel von 0,2 Lehrerstellen pro 25 Schülerinnen und Schüler oder pro 12 Schülerinnen und Schüler mit Bedarf an sonderpädagogischer Unterstützung beziehungsweise aus neu zugewanderten Flüchtlingsfamilien oder in vergleichbaren Lebenslagen (zum Beispiel Sinti und Roma) zugewiesen.
An Stelle von 0,1 Lehrerstellen kann grundsätzlich nach § 94 Absatz 2 SchulG ein Festbetrag ab dem 1. August 2026 in Höhe von 383 € pro Schülerin oder Schüler beziehungsweise in Höhe von 719 € pro Schülerin oder Schüler mit Bedarf an sonderpädagogischer Unterstützung beziehungsweise aus Flüchtlingsfamilien oder in vergleichbaren Lebenslagen (zum Beispiel Sinti und Roma) gewährt werden.
Für Träger genehmigter Ersatzschulen besteht kein Wahlrecht. Ihnen wird stets an Stelle der Lehrerstellenanteile ein Festbetrag ab dem 1. August 2026 in Höhe von 588 € pro Schülerin oder Schüler oder bei Schülerinnen und Schülern mit Bedarf an sonderpädagogischer Unterstützung beziehungsweise aus neu zugewanderten Flüchtlingsfamilien oder in vergleichbaren Lebenslangen (zum Beispiel Sinti und Roma) in Höhe von 1.149 € gewährt.
Die Fördersätze werden jedes Jahr jeweils zum 1. August um jeweils drei Prozent erhöht. Die Fördersätze werden auf volle Euro-Beträge kaufmännisch gerundet.“
10. Nummer 5.4.3 wird wie folgt gefasst:
„5.4.3 Der Festbetrag kann flexibel je nach den unterschiedlichen Bedürfnissen und differenzierten Förderbedarfen der Kinder für entstehende Personalausgaben sowie für entstehende Sachausgaben, die für konkrete Betreuungsmaßnahmen benötigt werden und nicht zur grundständigen Ausstattung der Schule gehören, verwendet werden.“
11. Nummer 5.5 wird wie folgt gefasst:
„5.5 Eigenanteile und Elternbeiträge
Der Schulträger erbringt für die Durchführung der außerunterrichtlichen Angebote der offenen Ganztagsschule im Primarbereich ab dem 1. August 2026 Eigenanteile in Höhe von 603 € pro Jahr pro Platz. Die Eigenanteile werden jährlich jeweils zum 1. August um jeweils drei Prozent erhöht. Die Höhe der Eigenanteile wird auf volle Euro-Beträge kaufmännisch gerundet. Auf diese Eigenanteile können Elternbeiträge angerechnet werden. In offenen Ganztagsschulen im Primarbereich kann der Schulträger oder der öffentliche Jugendhilfeträger ab dem 1. August 2026 Elternbeiträge bis zur Höhe von 242 € pro Monat pro Kind erheben und einziehen. Ab dem 1. August 2027 erhöht sich die Höchstgrenze jährlich zum Schuljahresbeginn – kaufmännisch gerundet – um jeweils drei Prozent. Nähere Regelungen zu Elternbeiträgen enthält Nummer 8 des Runderlasses „Offene Ganztagsschulen sowie außerunterrichtliche Ganztags- und Betreuungsangebote im Primarbereich“ des Ministeriums für Schule und Bildung und des Ministeriums für Kinder, Jugend, Familie, Gleichstellung, Flucht und Integration vom […]2 (BASS 12-63 Nr. 2).“
12. In Nummer 5.6 wird die Überschrift „Festlegung der Fördersätze“ eingefügt.
13. In Nummer 6.1 wird die Angabe „Anlage 1“ durch die Angabe „Anlage 3“ und die Angabe „15.01.“ durch die Angabe „15. Januar“ ersetzt.
14. In Nummer 6.2.2 wird die Angabe „15.10.“ durch die Angabe „15. Oktober“ und die Angabe „15.03.“ durch die Angabe „15. März“ ersetzt.
15. In Nummer 6.2.3 wird die Angabe „Anlage 2“ durch die Angabe „Anlage 5“ ersetzt.
16. Nummer 6.4 wird wie folgt geändert:
a) Die Angabe „Anlage 3“ wird jeweils durch die Angabe „Anlage 6“ ersetzt.
b) Die Angabe „(vereinfachter Verwendungsnachweis)“ und Satz 3 werden gestrichen.
17. In Nummer 7 wird nach der Angabe „Nummer 2“ die Angabe „dieses Erlasses“ eingefügt.
18. In Nummer 8 wird die Angabe „1. August 2025“ durch die Angabe „1. August 2026“ und die Angabe „31. Juli 2026“ durch die Angabe „31. Juli 2031“ ersetzt.
19. Die Anlage A erhält die Bezeichnung Anlage 1 und erhält die aus dem Anhang zu diesem Runderlass ersichtliche Fassung.
20. Die Anlage B erhält die Bezeichnung Anlage 2 und erhält die aus dem Anhang zu diesem Runderlass ersichtliche Fassung.
21. Die Anlage C erhält die Bezeichnung Anlage 3 und erhält die aus dem Anhang zu diesem Runderlass ersichtliche Fassung.
22. Die Anlage 1 erhält die Bezeichnung Anlage 4 und erhält die aus dem Anhang zu diesem Runderlass ersichtliche Fassung.
23. Die Anlage 2 erhält die Bezeichnung Anlage 5 und erhält die aus dem Anhang zu diesem Runderlass ersichtliche Fassung.
24. Die Anlage 3 erhält die Bezeichnung Anlage 6 und erhält die aus dem Anhang zu diesem Runderlass ersichtliche Fassung.
2
Dieser Runderlass tritt am 1. August 2026 in Kraft.
Nachfolgend finden Sie die Anlagen |
Anlage 1 - Seite 1
Anlage 1 - Seite 2
Anlage 2 - Seite 1
Anlage 2 - Seite 2
Anlage 3 - Seite 1
Anlage 3 - Seite 2
Anlage 3 - Seite 3
Anlage 3 - Seite 4
Anlage 4 - Seite 1
Anlage 5 - Seite 1
Anlage 5 - Seite 2
Anlage 5 - Seite 3
Anlage 5 - Seite 4
Anlage 5 - Seite 5
Anlage 6 - Seite 1
Anlage 6 - Seite 2
Anlage 6 - Seite 3
Anlage 6 - Seite 4
Anlage 6 - Seite 5
1 Das Ausfertigungsdatum tritt zu einem späteren Zeitpunkt an die Stelle dieses Platzhalters.
2 Das Ausfertigungsdatum tritt zu einem späteren Zeitpunkt an die Stelle dieses Platzhalters.


















